Księgowanie MSSF 16
MSSF 16 (Międzynarodowy Standard Sprawozdawczości Finansowej 16) to standard rachunkowości, który został opracowany przez Radę Międzynarodowych Standardów Rachunkowości (IASB) i wszedł w życie 1 stycznia 2019 roku. Dotyczy on zasad ujmowania, wyceny, prezentacji i ujawniania umów leasingowych w sprawozdaniach finansowych. MSSF 16 zastępuje dotychczasowy standard IAS 17, wprowadzając istotne zmiany, w tym wymóg ujmowania większości umów leasingowych w bilansie jako aktywa (prawo do użytkowania) i zobowiązania (obowiązek płatności leasingowych). Celem MSSF 16 jest zwiększenie przejrzystości i porównywalności sprawozdań finansowych poprzez pełniejsze odzwierciedlenie zobowiązań związanych z leasingiem.
Dyskontowanie płatności leasingowych w praktyce MSSF 16
Wycena zobowiązania według MSSF 16 wymaga policzenia wartości bieżącej przyszłych płatności wynikających z umowy. Brzmi to prosto, jednak w praktyce zbudowanie odpowiedniego modelu może nastręczać trudność. Większość przykładów stosowania MSSF 16 pokazuje dyskonto płatności rocznych. To dobre uproszczenie dydaktyczne, ale w kontekście wyceny MSSF 16 co miesiąc (lub kwartał) wiele osób staje przed problemem: jak to zrobić w praktyce? I właśnie na to pytanie spróbujemy odpowiedzieć.
Artykuł pokazuje krok-po-kroku jak wyznaczyć wartość bieżącą zobowiązania. Co więcej, pokazujemy, że choć pojęcie dyskonta nie budzi niczyich wątpliwości, to jednak nie ma jednego wzoru na wartość współczynnika dyskontującego. O co chodzi? Czytaj dalej a przekonasz się, że ten sam strumień płatności dla ustalonej stopy dyskonta może dać różną wartość bieżącą zobowiązania.
Wyliczenie wartości bieżącej zobowiązania MSSF 16 w trzech krokach
Ustalenie wartości bieżącej zobowiązania jest jednym z najprostszych elementów zastosowania MSSF 16. Kalkulacja sprowadza się do wykonania następujących kroków:
- Wylicz współczynnik dyskonta dla każdej płatności leasingowej w przyszłości
- Podziel wartość płatności przez współczynnik dyskonta, by ustalić jej wartość bieżącą
- Zsumuj wartości bieżące wszystkich płatności, by ustalić łączną wartość bieżącą zobowiązania.
I ten proces krok-po-kroku przejdziemy w dalszej części artykułu. A jednocześnie pokażemy różne podejścia do wyznaczania współczynnika dyskonta. Co ciekawe – wszystkie z nich można uznać za poprawne😊
Jak policzyć wartość bieżącą zobowiązania MSSF16
Wiemy już, że MSSF 16 wymaga prezentacji zobowiązania z tytułu leasingu jako wartości bieżącej przyszłych płatności leasingowych. Wiemy też, że dla każdej z rat leasingowych (lub płatności czynszu w przypadku zastosowania MSSF 16 do umów najmu, lub dzierżawy) należy wyznaczyć jej zdyskontowaną wartość na dany dzień bilansowy. Jak to zrobić w praktyce?
Stopa dyskonta
Do wyliczenia wartości bieżącej zobowiązania MSSF 16 potrzebna nam będzie stopa dyskonta. Stopa dyskonta ma odpowiadać oprocentowaniu jak firma zapłaciłaby za finansowanie zewnętrzne w scenariuszu, gdyby chciała nabyć na kredyt ten sam środek aktywów. Praktyka ustalania stopy dyskonta jest różna – czasem firmy przyjmują stopę procentową leasingu (jeżeli jest podana) lub oprocentowanie innych kredytów zaciągniętych przez spółkę, lub stopę referencyjną (WIBOR, WIRON, itp.) powiększony o ustaloną marżę.
W każdym razie stopa dyskonta musi być zdefiniowana. Bez niej nie ma mowy o dyskontowaniu, wartości bieżącej i zastosowaniu MSSF 16.
Współczynnik dyskonta
Dla każdej płatności w przyszłości trzeba wyliczyć wartość współczynnika dyskonta. Czyli wartość, przez którą pomnożymy wartość każdej rat leasingowych w celu uzyskania jej wartości bieżącej. Uwaga praktyczna: mnożenie może być zastąpione przez dzielenia jeżeli w kalkulację współczynnika uprościmy zamieniając licznik i mianownik (patrz dalej).😊 Tak policzona wartość nie będzie „współczynnikiem dyskonta” zgodnie z jego definicją, jednak formuła będzie nieco prostsza, a dla poprawności wyceny MSSF 16 nie ma to żadnego znaczenia. Ot, wybrane podejście zależy tylko od tego czy wolimy jako współczynnik widzieć wartość większą, czy mniejszą od „1”.
Współczynnik dyskonta nie jest stały dla każdej płatności. Zmienia się wraz z upływem czasu – niezależnie od zastosowanej formuły zmierza do wartości „1” (która przyjmuje w przypadku, gdy płatność przypada w danym dniu – wartość bieżąca jest wtedy równa wartości nominalnej).
Oznacza to, iż dokonując wyceny zobowiązania MSSF 16 na dany dzień bilansowy musimy policzyć od nowa wartości współczynników dyskontujących dla wszystkich płatności. Technicznie możliwe jest wykorzystanie wartości z pierwotnego harmonogramu.
W takim wystarczy oryginalne współczynniki dyskonta podzielić (pomnożyć) przez współczynnik przypisany do danego okresu. Brzmi to może niezrozumiale, ale wystarczy, że spojrzycie na formułę wyliczającą „saldo bilansowe” w załączonym modelu Excel i wnet zrozumiecie, o co chodzi.
Wartość bieżąca zobowiązania MSSF 16
W przypadku wyliczania wartości bieżącej zobowiązanie spokojnie możemy sumować wartości bieżące poszczególnych rat. Czyli dokonując wyceny zobowiązania z tytułu MSSF 16 musimy policzyć sumę wartości bieżącej wszystkich przyszłych płatności. Tylko tyle!
Co więcej, ten sposób wyceny stosujemy za każdym razem. To znaczy tak wyznaczamy wartość zobowiązania przy inicjalnym rozpoznaniu umowy leasing lub najmu zgodnie z MSSF 16. Tak samo wyliczamy wartość bieżącą zobowiązania na dowolny dzień bilansowy. I wreszcie, również w ten sposób ustalamy nową wartość zobowiązania w przypadku zmiany umowy leasingowej (niezależnie od tego czy następuje zmiana opłat, wydłużenie lub skrócenie umowy czy spółka podejmuje decyzję o aktualizacji stopy dyskonta). Wartość zobowiązania MSSF 16 zawsze musi odpowiadać wartości bieżącej przyszłych płatności wynikających z umowy.
Formuła na współczynnik dyskonta
Skoro wiemy już jak wyznaczyć wartość zobowiązania MSSF 16 to możemy w szczegółach spojrzeć na wzory na współczynnik dyskonta. Tu bowiem dochodzimy do punktu gdzie pojawiają nam się różne możliwości. I tu dotkniemy elementów praktycznych, których często nie znajdziecie w innych przykładach dostępnych w Internecie.
W prostych, szkoleniowych przykładach znajdziecie zazwyczaj płatności roczne, które podlegają dyskontowaniu określoną stopą dyskonta – 5, 6, 7 lub 10%. Tylko, żadna umowa leasingu czy najmu tak nie wygląda. Zazwyczaj mamy do czynienia z opłatami miesięcznymi lub kwartalnymi. Nawet jeżeli umowa przewiduje płatności roczne (użytkowanie wieczyste gruntów), to opłaty nie koniecznie przypadają na koniec roku. I wreszcie, zazwyczaj wycenę MSSF 16 chcemy prowadzić co miesiąc (ewentualnie co kwartał), a nie tylko na koniec roku.
Oznacza to, że zastosowania MSSF 16 w praktyce wymagać będzie od nas policzenia współczynnika dyskonta dla okresów innych niż wielokrotność pełnych lat kalendarzowych.
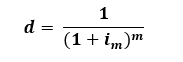
Współczynnik dyskonta - ogólny wzór na dla okresów rocznych
Zanim jednak „zaczną się schody”, spójrzmy na standardową formułę na współczynnik dyskonta. Efektywnie, współczynnik dyskonta wyliczamy odwracają formułą na efektywne oprocentowanie depozytu przy zastosowaniu kapitalizacji rocznej (procentu składanego)
d – współczynnik dyskonta
i – stopa dyskonta
t – liczba okresów (lat kalendarzowych)
Wyposażeni w ten wzór, zobaczmy, jak może wyglądać kalkulacja współczynnika dyskonta w praktyce stosowania MSSF 16 dla obliczeń miesięcznych.
Współczynnik dyskonta – przeliczenie stopy rocznej procentowej na miesięczną
Najprostszym sposobem wyliczania współczynnika dyskonta dla danych miesięcznych jest przeliczenie rocznej stopy procentowej na stawkę miesięczną. Czyli najprościej mówiąc podzielenie stopy procentowej przez 12.
Poprzedni wzór pozostaje w zasadzie niezmieniony, tylko w miejscu „i” pojawia się 1/12 stopy rocznej a zamiast liczby lat kalendarzowych wstawiamy liczbę miesięcy (oznaczoną we wzorze poniżej jako „m”).

Musicie pamiętać, że jest to pewne uproszczenie. Tak wyliczony współczynnik dyskonta dla płatności przypadającej po 12 miesiącach od dnia bilansowej jest inny niż stopa dyskonta. W naszym przykładzie stopa roczna 6% zamienia się w 6.186%. Dokładnie takie byłoby efektywne oprocentowanie lokaty rocznej oprocentowanej na 6% z miesięczną kapitalizacją odsetek.
Współczynnik dyskonta – kapitalizacja miesięczne
Podzielenie stopy procentowej przez 12 miesięcy daje efektywnie współczynnik dyskonta większy niż zadana stopa procentowa. Gdy nie chcemy stosować takich uproszczeń możemy zmienić wzór na współczynnik dyskonta, tak by uwzględniał on efekt kapitalizacji miesięcznych.
Po prostu musimy inaczej policzyć miesięczną stopę dyskonta. Aby to osiągnąć, trzeba zastąpić dzielenie przez 12 miesięcy pierwiastkiem 12-go stopnia (co jest równoznaczne z podniesieniem do potęgi 1/12).
Wzór na stopę miesięczną wyglądać będzie następująco:
W Excelu odpowiednią wartość uzyskacie stosując następującą formułę:
A później współczynnik dyskonta liczymy już identycznie jak poprzednio, wstawiając wyliczoną stopę miesięczną.

Co zyskujecie w efekcie? Taka kalkulacja współczynnika dyskonta sprawia, że Wasz model dyskontuje płatności przypadające za 12 miesięcy dokładnie o zadaną wartość stopy dyskonta. Spójrzcie na przykład – miało być 6% i jest 6%! A jednocześnie formuły w Excelu wcale nie są przez to jakoś istotnie trudniejsze.
Współczynnik dyskonta – reguła bankowa
Na koniec ostatnia z możliwości. Reguła bankowa, czyli sposób, w jaki czasem banki naliczają odsetki od kredytów. Opiera się ona na kapitalizacji dziennej i jednoczesnym założeniu, iż rok bankowy trwa 360 dni (a nie 365 lub 366).
Formuły zastosowaniem reguły bankowej są niemal identyczne jak w przypadku kapitalizacji miesięcznych. Jedyną różnicą jest zastąpienie efektywnej stopy miesięcznej – dzienną stopą dyskonta (czyli zamiast 12 wpisujemy 360) oraz wyliczaniu współczynnika dyskonta na podstawie liczby dni, a nie miesięcy do daty płatności.
O możliwości zastosowania reguły bankowej przy kalkulacji współczynnika dyskonta piszemy z dwóch powodów. Po pierwsze, część systemów do MSSF 16 działa właśnie w ten sposób. Bardzo często są one „czarną skrzynką”, która dokonuje wyceny. Jeżeli jednak próbujesz uzgodnić swoją kalkulację do tego co wychodzi z takiego systemu i w żaden sposób nie możesz uzyskać dokładnie tych samych wartości, to z dużym prawdopodobieństwem Twoje oprogramowanie liczy współczynnik dyskonta z zastosowaniem reguły bankowej.
Po drugie, jeżeli zależy Ci na tym, by inicjalną wartość zobowiązania rozpoznać dokładnie na dzień rozpoczęcia umowy (który akurat wypada w środku miesiąca), to zastosowanie współczynnika dyskonta uwzględniającego kapitalizację dzienną jest optymalnym sposobem, by to osiągnąć. W tym przypadku nie musisz stosować literalnie reguły bankowej i zamiast 360 dni przyjąć do kalkulacji stop dziennej wartość 365 tak by efektywna roczna stopa procentowa była maksymalnie bliska zadanej stopie dyskonta (różnice pojawiać się będą w latach przestępnych i jeżeli dla kogoś będą one materialne to musi przygotować na nie odpowiedni wyjątek).
Dyskonto MSSF 16 w Excel – przykłady formuł
I tak dotarliśmy szczęśliwie do końca naszego wykładu na temat wyliczania współczynnika dyskonta dla wyceny zobowiązania MSSF 16. Nagrodą dla wszystkich, którzy jeszcze z nami są jest możliwość pobrania pliku Excel zawierającego praktyczny przykład z formułami wyliczającymi wartość bieżącą zobowiązania MSSF 16.
Znajdziecie w nim formuły i wyceny zobowiązania we wszystkich trzech opisanych wariantach wyliczania dyskonta – stopa miesięczna jako 1/12 wartości rocznej, stopa miesięczna uwzględniająca kapitalizację oraz reguła bankowa. Może komuś z Was ten model pomoże w budowie własnego arkusza kalkulacyjnego do wyceny MSSF 16.
FlexiEPM – kompletny system do raportowania MSSF 16
A jeżeli ktoś chciałby rozwiązać problem raportowania MSSF 16 rozwiązać systemowo, zachęcamy do zapoznania się z możliwościami systemu FlexiEPM. Znajdziecie w nim nie tylko opcje dyskontowania wartości bieżącej zobowiązania w dowolnym z opisanych modeli, ale również:
- pełne wsparcie dla wyceny netto aktywa MSSF 16,
- obsługę umów w walutach obcych,
- przeszacowanie wartości zobowiązania i aktywa w przypadku zmian w umowie,
- gotowe raporty prezentujące ponad 50 miar finansowych pozwalające na przygotowanie not objaśniających do sprawozdania finansowego
- mechanizmy dekretacji pozwalające zautomatyzować księgowanie wyceny MSSF 16.











